invent
Eve Online Invention Guide
In Eve Online, invention is the process of turning Tech 1 blueprint copies (T1 BPC) into Tech 2 blueprint copies (T2 BPC). Doing invention is probably the most profitable avenue of industry gameplay that you can find in Eve Online. In this invention guide, I will go over the details of T2 invention, what skills are needed, what they do, how to use decryptors and more.
Advertisements
Getting a T1 Blueprint Copy for Invention.
The first thing you need to do is to get a T1 blueprint copy of the item you want to get a T2 blueprint from. In most cases, this is easy as you can just find the T1 variant of the module you want to make. For example, to invent a T2 ice harvester upgrade BPC, you need a T1 ice harvester upgrade BPC. However, for ships and a few modules, this is more problematic.
To find out what blueprint to use for T2 ship invention, you can start by finding the ship you want to make in the marketplace. Click the “i” icon next to the listing, go into the industry tab, click the “i” button by the tech 2 blueprint, scroll to the bottom of that list, and there you will find a single ship which is needed to manufacture the T2 version of the ship. This is the type of T1 BPC you need to invent the T2 BPC. This is shown in the image below with the Keres used as an example.
When you have figured out which tech 1 blueprint you need to use you have two choices. Either to buy the BPC’s via the contract system or buy the original blueprint from the market (or via contracts) and make the BPC’s yourself. Note that the ME and PE values of original blueprints and blueprint copies have no effect on the outcome of the invention job, thus you can just as well used an unresearched blueprint. Also, you just need a single run BPC for an invention, there is no added bonus from using a full run one. However, if you use a full run BPC you will get it back after the invention job minus one run, so you can save a lot of space by simply making a few BPC with full runs and using them.
Skills Needed for Invention Jobs.
Running invention in Eve Online is a somewhat skill-intensive activity. To be able to start training invention related skills you will need the following prerequisites.:
- CPU Management V
- Hacking II
- Mechanics V
- Power Grid Management V
- Science V
The invention skills can be separated into two main categories: the primary skills and secondary skills. The primary skills are the skills you need to have before you can start any type of invention related to that particular race. For example, to invent items from the Amarr domain, you will need Amarr Encryption Methods.
- Amarr Encryption Methods
- Caldari Encryption Methods
- Gallente Encryption Methods
- Minmatar Encryption Methods
Each of these four skills allows you to access a group of modules, rigs, and ships to invent.
On top of that, you will also need at least two of the secondary skills. These skills are highly dependant on which blueprint you are using for an invention. These skills are in alphabetical order:
- Amarr Starship Engineering
- Caldari Starship Engineering
- Electromagnetic Physics
- Electronic Engineering
- Gallente Starship Engineering
- Graviton Physics
- High Energy Physics
- Hydromagnetic Physics
- Laser Physics
- Mechanical Engineering
- Minmatar Starship Engineering
- Molecular Engineering
- Nanite Engineering
- Nuclear Physics
- Plasma Physics
- Quantum Physics
- Rocket Science
Starting a T2 Invention job.
To start an invention job you need to have the required encryption method and the two required secondary skills at least at level 1. The higher these skills, the greater chance you will have of succeeding at the invention job. I will go into more detail on that later. You also need to have specific datacores and you have the option of using decryptors. but first, you need to open the invention window.
The Invention Window.
To open the invention window you simply need to press the industry tab on the Neocon and then select the microscope symbol near the middle of the screen. At that point, you should see something like the image below. In this window, you perform all the tasks needed to complete your industry jobs. Such as selecting which decryptor to use, if any, decide the number of consecutive jobs you want to run and see how long and costly the action will be.
Datacores
Datacores are items that are required for every invention job. You can almost always buy them from any trade hub in Eve Online or you can learn to farm them from Factional Welfare.
The types of datacores needed are the same as the secondary skills required for the invention. The number of datacores required for each task depends on the BPC you are using and can range from one each to 64 each.
For example, to invent T2 425mm railguns you need to have Gallente Encryption method at least at level 1 and Plasma Physics and Quantum Physics at least at level 1 each. You also need to have 3 plasma physics datacores and 3 quantum physics datacores for each invention job you want to run.
To find these basic requirements you can access the invention tab of the BPC and read it from there or you can install the BPC into the invention window and see it there.
Decryptors
Decryptors are specialized items that modify the output of successful invention jobs. To use a decryptor is optional, but I recommend that you do so only if you are inventing ship T2 BPC’s and a few high-value T2 module BPC. Which decryptor is best to use is however something you need to decide for yourself as it varies wildly between items and in time wehter the use of a decryptor is profitable. The decryptors and what they do is listed below.
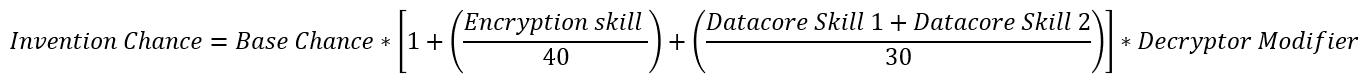
Chance of T2 Invention Success.
Not every invention job will be a success, there is a possibility that jobs will fail. The chance of a successful job is calculated from the following formula.
You don’t need to calculate this by hand though since you can see the chance of success in the invention window as shown above. You can also bookmark and use my T2 invention chance calculator to calculate the chances of blueprints you don’t yet have.
But from this formula, you can see that your encryption and datacore specific skills are extremely important for a successful invention career. Personally, I would not recommend starting inventing T2 BPC’s at all until all the relevant skills for a specific BPC are at level 3, even level 4. For ships, I would aim for level 4 to level 5.
How to Calculate the Profitability of an Invented BPC
Now, this is the most important part of this invention guide. Inventing T2 BPC’s is pointless if it is not profitable. But how you calculate profitability is somewhat complex. The way I do it is to first calculate the invention cost for a single run of a T2 BPC you want to invent. To do so I use the following formula.
Then I just add the required numbers and I get a cost estimate. For example, the blueprint cost of a 425mm railgun II would look something like
In this case, I assume a zero cost for the BPC as it is negligible and there is no decryptor used as it is a cheapish T2 module.
When you do this you get the cost per run of a T2 BPC. You can then either add that number to the manufacturing cost of a T2 ship or module, or you can check if it’s profitable to sell the T2 BPC through a contract.
So that’s about it when it comes to T2 invention in Eve Online. Now if you found this Eve Online invention guide useful then please share it with your friends and allies in Eve Online. Also, you may want to check out my other Eve Online guides.





